Предмет: Математика,
автор: katt15
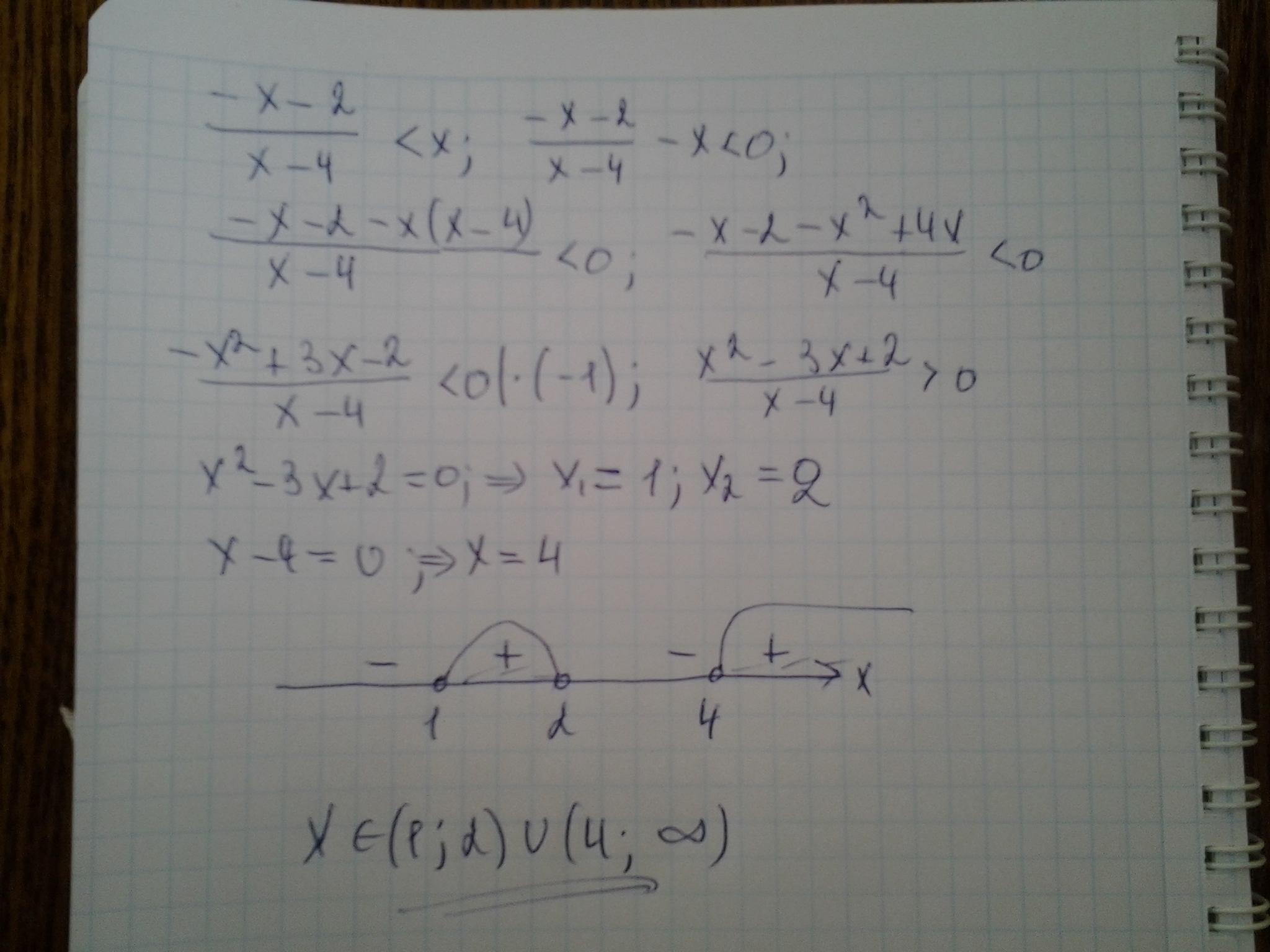
-x-2/x-4<x преподаватель сказал, что нужно как-то икс в знаменатель перенести, а домножение обоих частей на (x-4) не подходит
Ответы
Автор ответа:
0
Применены : правила действий с алгебраическими дробями, метод интервалов
Приложения:
Похожие вопросы
Предмет: Химия,
автор: valeriyavat
Предмет: История,
автор: hfsdc
Предмет: Математика,
автор: zeniyevibraqim
Предмет: Математика,
автор: сябка
Предмет: Математика,
автор: татьяна2003сергеевна