Предмет: Математика,
автор: SandraASA
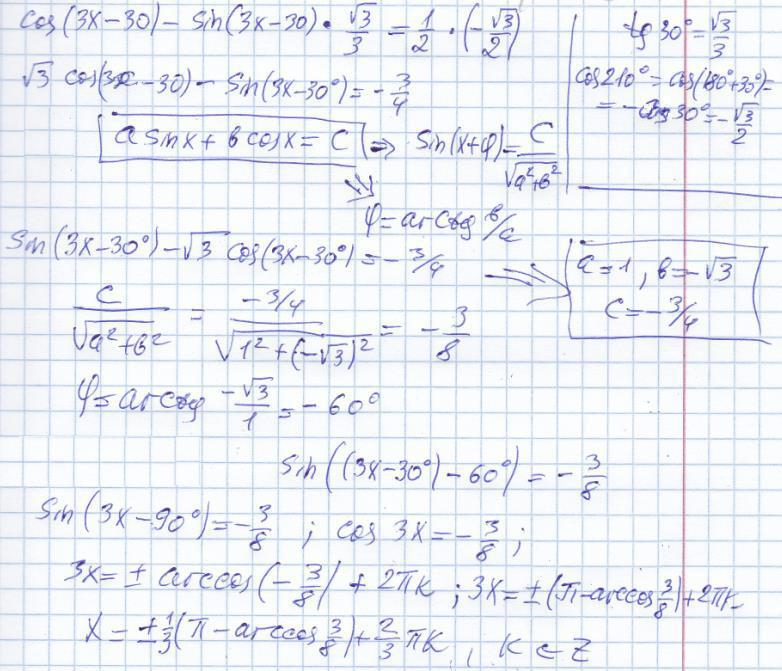
Помогите пожалуйста решить тригонометрическое уравнение cos(3x-30)-sin(3x-30)tg30=1/2cos210.
Ответы
Автор ответа:
0
применен метод введения дополнительного угла
Приложения:
Похожие вопросы
Предмет: Алгебра,
автор: dragoderrred333
Предмет: Английский язык,
автор: gobaevaarina
Предмет: Физика,
автор: 111matvey11191
Предмет: Химия,
автор: sen079807