Предмет: Алгебра,
автор: dragoderrred333
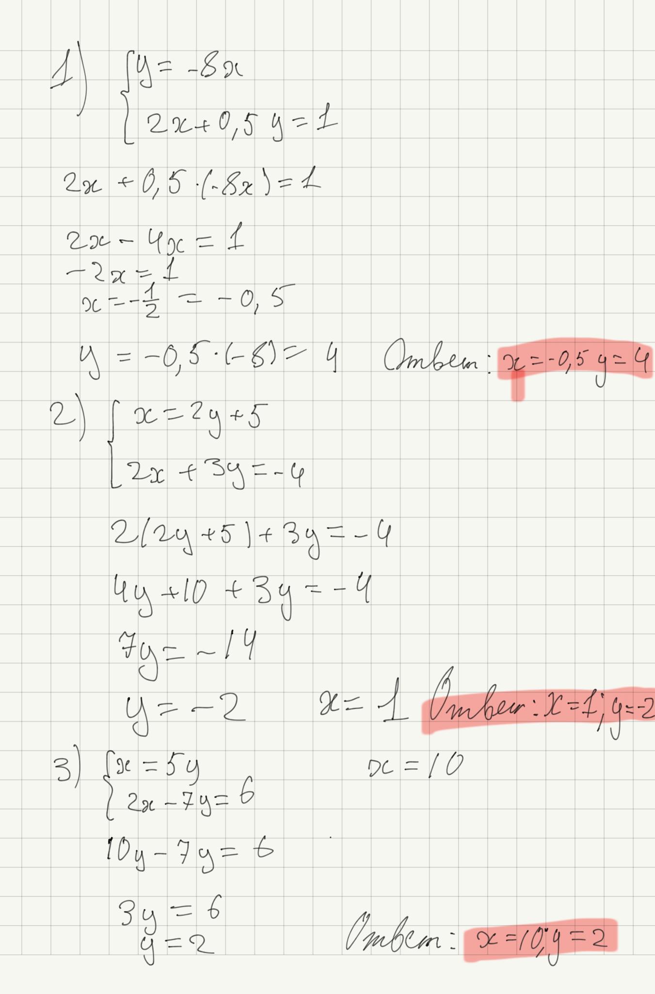
Пожалуйста, помогите. Срочно!!!!!!!. Решите систему линейных уравнений:
1)
у=-8х
{
2х+0.5у=1
2)
х=2у+5
{
2х+3у=-4
3)
х=5у
{
2х-7у=6
Ответы
Автор ответа:
1
Ответ: Ниже.
Объяснение: На листке. Что непонятно пиши.
Приложения:
dragoderrred333:
спасибо огромное
Похожие вопросы
Предмет: Українська мова,
автор: 35678
Предмет: Русский язык,
автор: вероника20052702
Предмет: Окружающий мир,
автор: щгннодэ
Предмет: Русский язык,
автор: RoLaNdApReSyAn
Предмет: Химия,
автор: Аноним