Предмет: Математика,
автор: Im360
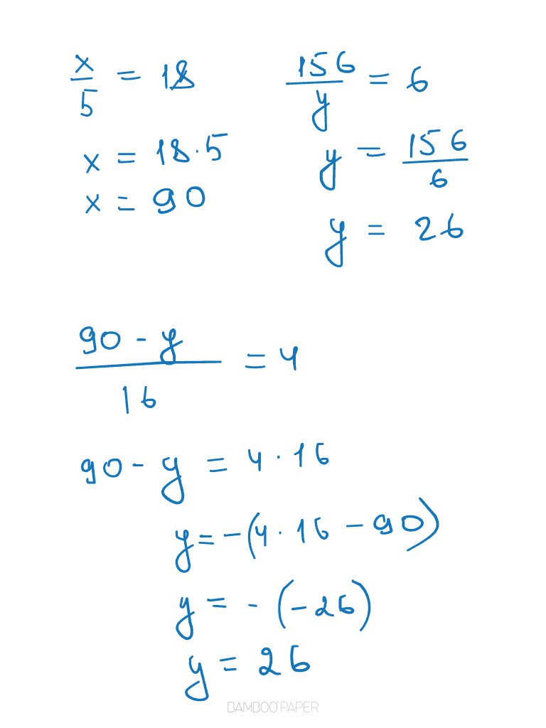
Решите уравнения :
X/5=18
156/y= 6
90-y/16=4
/ это дробь
Ответы
Автор ответа:
0
Решение данного задания
Приложения:
Похожие вопросы
Предмет: История,
автор: TheStrike666
Предмет: Химия,
автор: mariakarotam04
Предмет: Обществознание,
автор: alina5narkova
Предмет: Право,
автор: sherishkoda