Предмет: Математика,
автор: Аноним
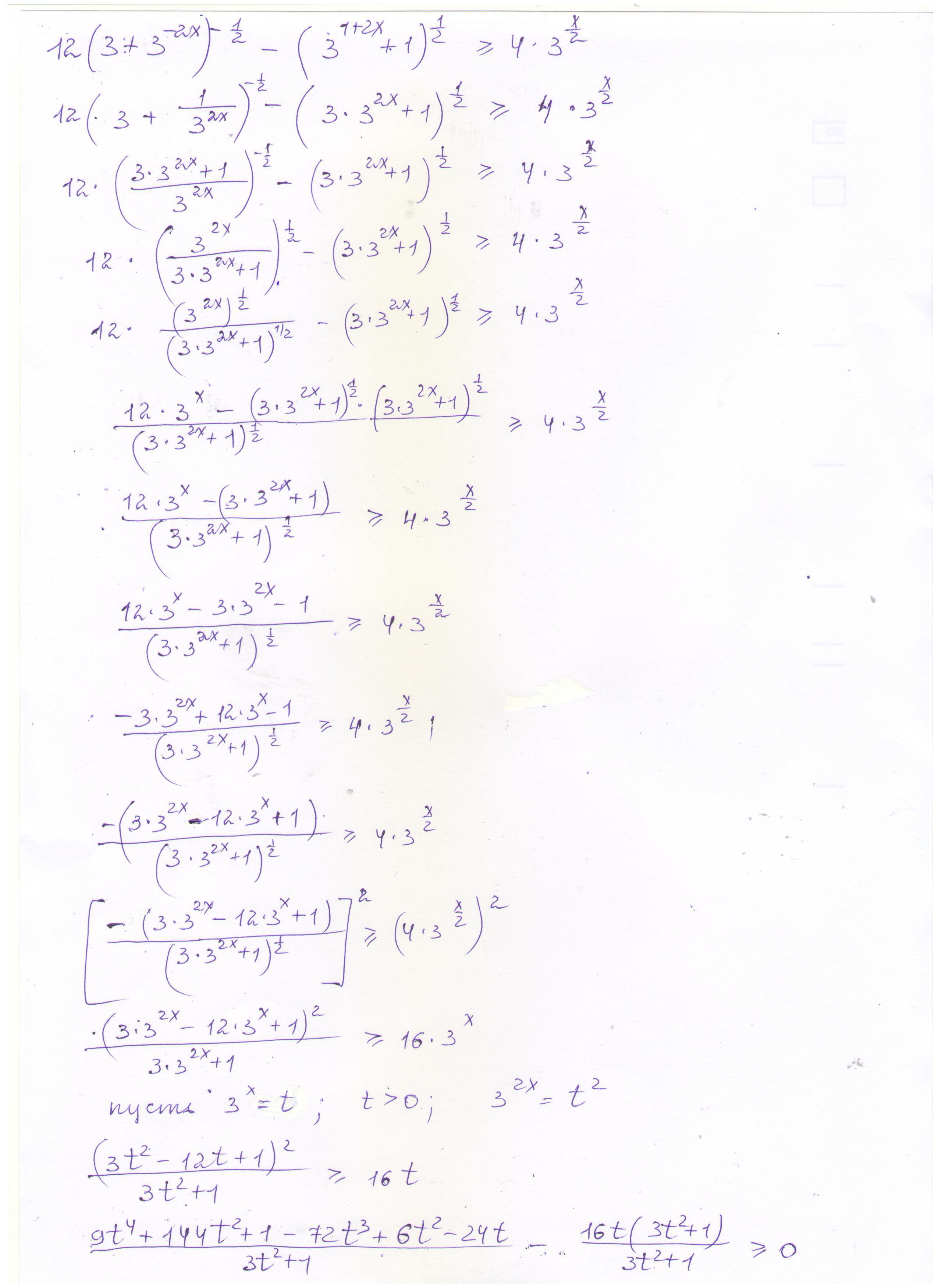
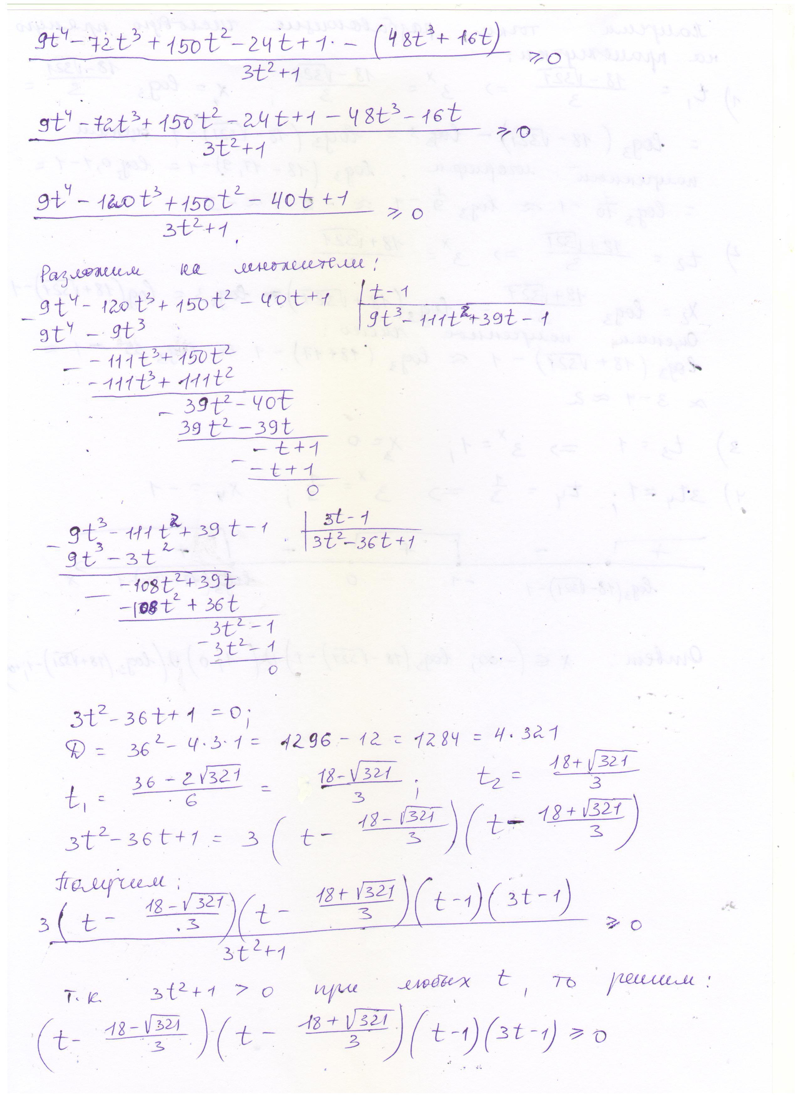
12(3+3^-2х)^-1/2-(3^1+2х+1)^1/2>=4*3^Х/2
Приложения:
Ответы
Автор ответа:
0
смотри приложенный файл
Приложения:
Похожие вопросы
Предмет: Английский язык,
автор: bigiflash95
Предмет: Русский язык,
автор: akmalhujayev96
Предмет: Русский язык,
автор: akmalhujayev96
Предмет: Информатика,
автор: irinakovalchukv
Предмет: Литература,
автор: Аноним