Предмет: Математика,
автор: rttrewewa
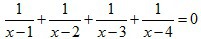
Найти сумму наименьшего и наибольшего корней уравнения (прикреплено)
Приложения:
Ответы
Автор ответа:
0
смотри приложенный файл
Приложения:
Похожие вопросы
Предмет: Геометрия,
автор: valeria2975
Предмет: Химия,
автор: sashasherb
Предмет: Геометрия,
автор: Adilet104
Предмет: Математика,
автор: polinka068585