Предмет: Алгебра, автор: sosnovskaya88

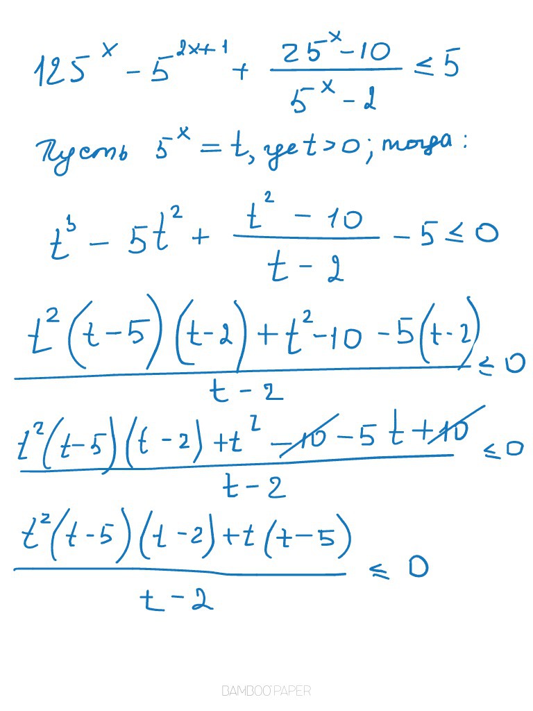
Решить неравенство 125^x-5^(2x+1)+(25^x-10)/(5^x-2)<=5

Ответы

Автор ответа: KseniaHarlequin
0
Решение данного неравенства
Приложения:
Похожие вопросы
Предмет: История, автор: Yfjc
7. Установите соответствие между именами князей и событиями, связанными с их
деятельностью: к каждому элементу первого столбца, подберите соответствующий элемент из
второго столбца.
онолыг орон oтoннoмaнa oтoaqэп кино ореn нотноонто са от I
Князья
"антов от отопног
А) князь Владимир
Б) князь Олег
В) князь Ярослав Мудрый
События
1) восстание древлян
2) возведение Десятинной церкви в Киеве и энэмнэ она низ штадо он планиран и за
3) возведение Софийского собора в Киеве
4) объединение Киева и Новгорода
8. Расположите в хронологической последовательности исторические события. Запишите
цифры, которыми обозначены исторические события, в правильной последовательности в
ответ.
1) постройка города Юрьев
2) последнее военное столкновение с Византией
3) написание «Правды» Ярослава
4) впервые произнесённое «Слово о Законе и Благодати»
9. Напишите определения следующих понятий: усобица, «Правда Ярослава», династический
брак, наместник.​
Предмет: Английский язык, автор: sophia95