Предмет: Алгебра,
автор: ytrew00
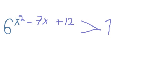
помогите пожалуйста решить, или объясните хотя бы что нужно делать
Приложения:
Ответы
Автор ответа:
0
6 ( х^2 -7x +12) = 6 в нулевой степени.
x^2 - 7x + 12 =0
x1 = 4
x2=3
x^2 - 7x + 12 =0
x1 = 4
x2=3
Автор ответа:
0
спасибо, я разбралась, но у вас ошибка, там знак больше, а не равно
Похожие вопросы
Предмет: Физика,
автор: Galusika2005
Предмет: Математика,
автор: fghjkiuytfgggf
Предмет: Математика,
автор: ddghkii
Предмет: Математика,
автор: CatBabochka