Предмет: Геометрия,
автор: Аноним
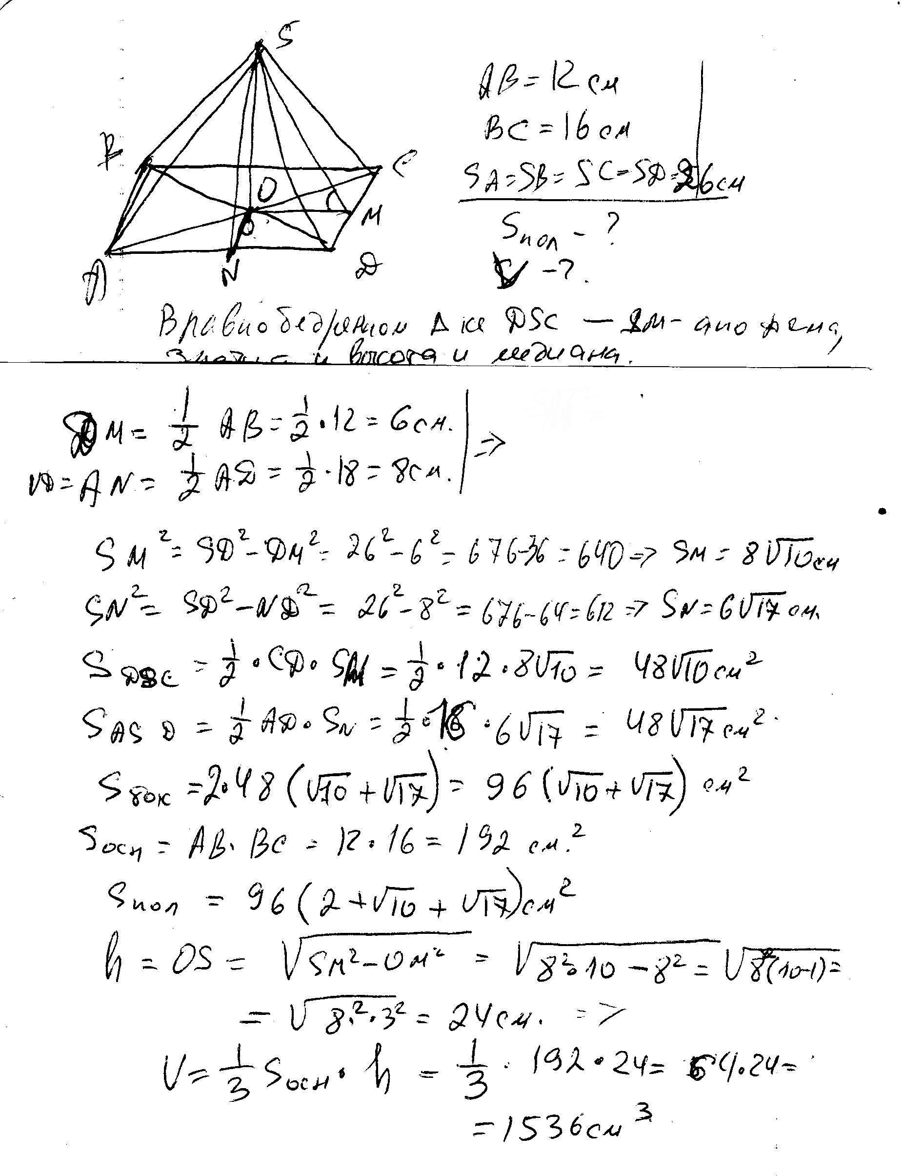
Основание пирамиды - прямоугольник со сторонами 12 и 16 см. Все боковые ребра пирамиды равны 26 см. Найдите площадь полной поверхности и объем пирамиды.
Ответы
Автор ответа:
0
решение в скане..................
Приложения:
Похожие вопросы
Предмет: Физика,
автор: antondmitriev00
Предмет: Биология,
автор: jakai74
Предмет: Литература,
автор: Mikroslav
Предмет: Математика,
автор: qriwa