Предмет: Математика,
автор: ring2o11
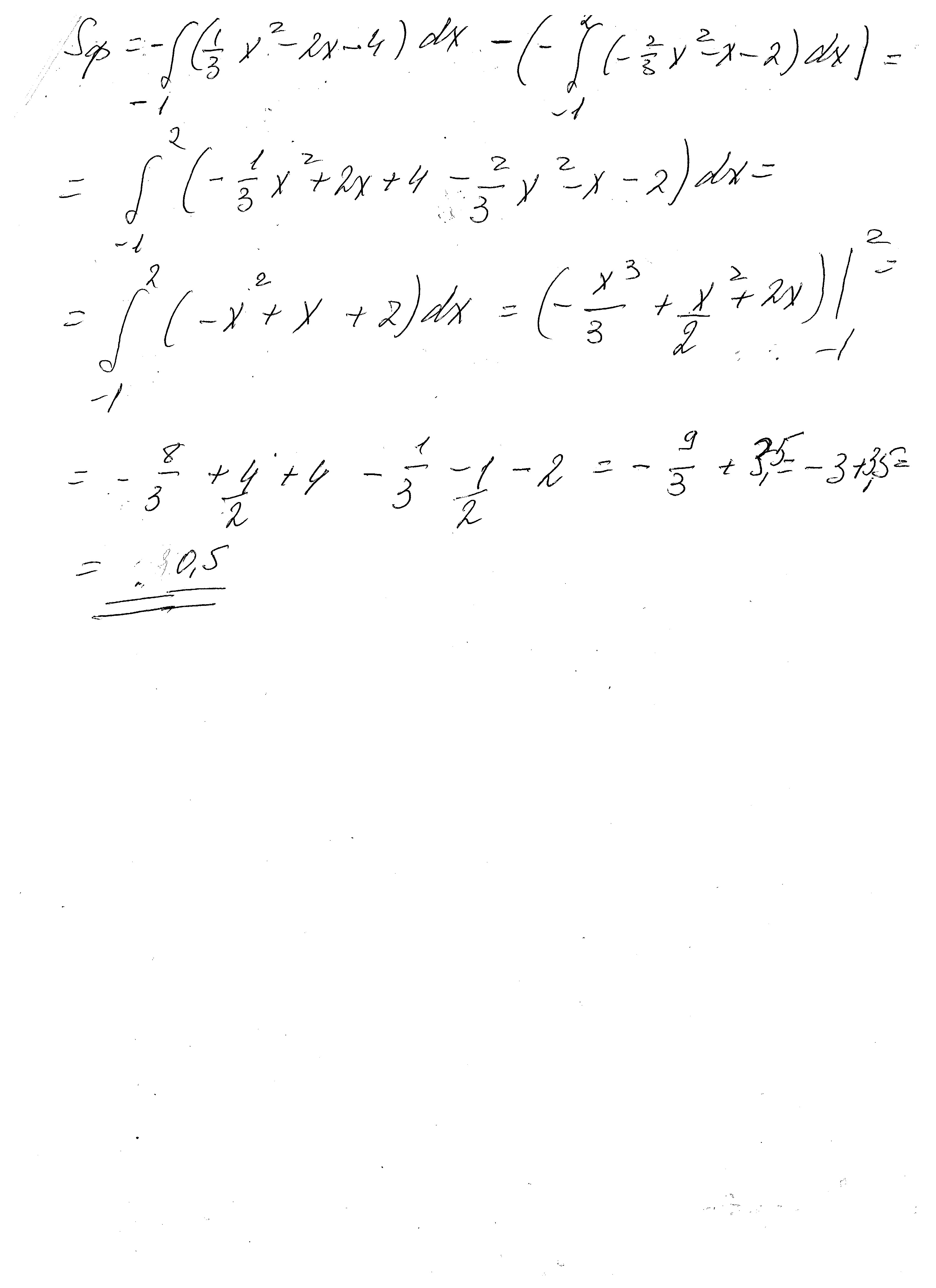
Вычеслить площадь фигуры ,ограниченной пораболами,построить чертеж y=1/3*x^2-2*x-4. y=-2/3*x^2-x-2 подробно
Ответы
Автор ответа:
0
в решении подробно рассчитано построение графиков функций.При расчете площадей учтено, что рисунок находится под осью х, поэтому площади идут со знаком "-".
Приложения:
Похожие вопросы
Предмет: Физика,
автор: hiihyh8
Предмет: Қазақ тiлi,
автор: maratovaaa10
Предмет: Оʻzbek tili,
автор: fayozbekjumaboev00
Предмет: Алгебра,
автор: StepFull