Предмет: Алгебра,
автор: marinanikolina
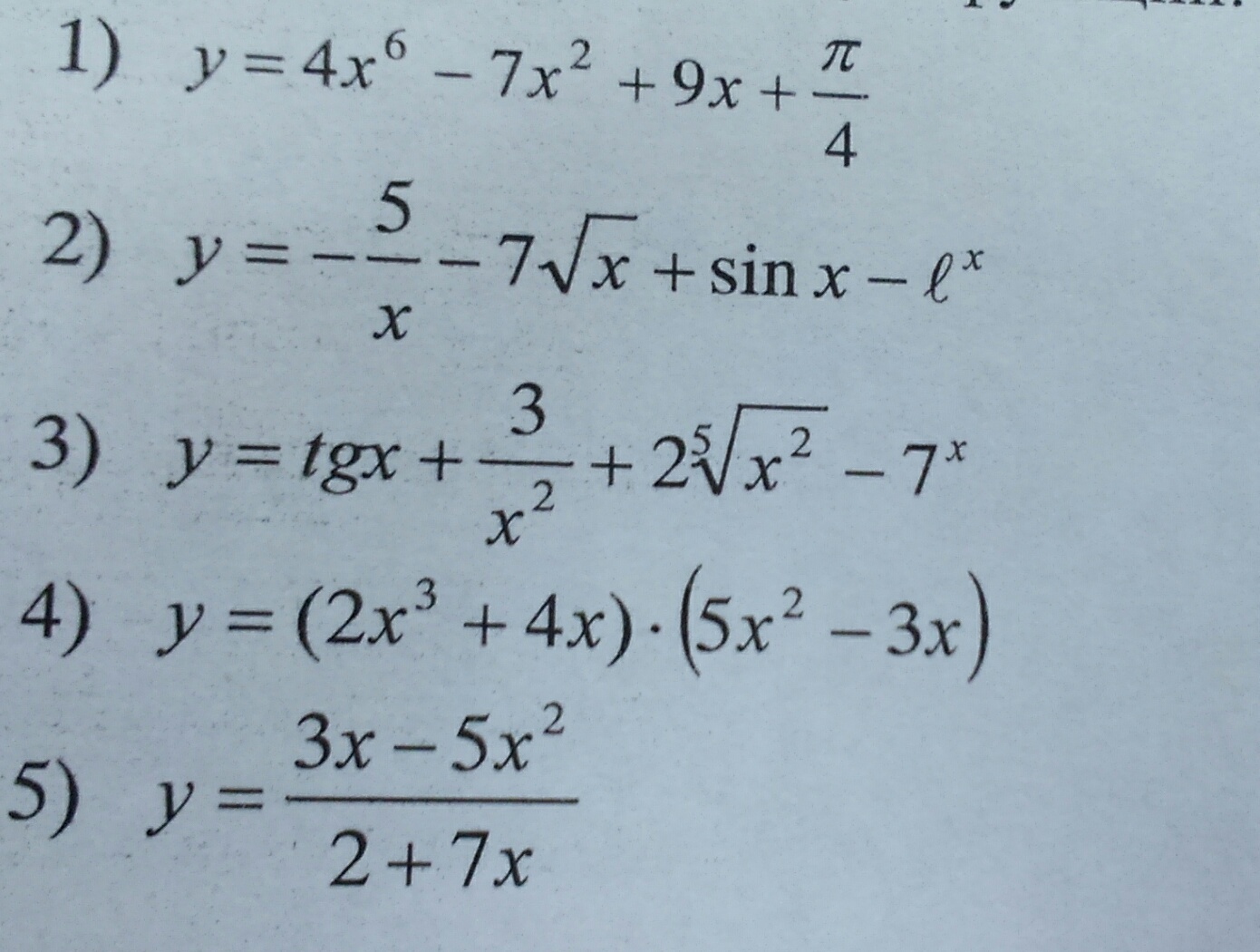
Найдите производную функции
Приложения:
Ответы
Автор ответа:
0
1)y`=24x^5-14x+9
2)y`=5/x²-7/2√x+cosx-e^x
3)![y`=1/cos^2x-6/x^3+4/5 sqrt[5]{x^3} -7^x*ln7 y`=1/cos^2x-6/x^3+4/5 sqrt[5]{x^3} -7^x*ln7](https://tex.z-dn.net/?f=y%60%3D1%2Fcos%5E2x-6%2Fx%5E3%2B4%2F5+sqrt%5B5%5D%7Bx%5E3%7D+-7%5Ex%2Aln7)
4)


5)![y`=[(3-10x)(2+7x)-7(3x-5x^2)]/(2+7x^2)^2= y`=[(3-10x)(2+7x)-7(3x-5x^2)]/(2+7x^2)^2=](https://tex.z-dn.net/?f=y%60%3D%5B%283-10x%29%282%2B7x%29-7%283x-5x%5E2%29%5D%2F%282%2B7x%5E2%29%5E2%3D)

2)y`=5/x²-7/2√x+cosx-e^x
3)
4)
5)
Похожие вопросы
Предмет: Алгебра,
автор: valikrybka0
Предмет: История,
автор: kotliaranastasiia
Предмет: Математика,
автор: nadjaskorinko
Предмет: Математика,
автор: Julia77710
Предмет: Математика,
автор: Darthsmoler