Предмет: Алгебра,
автор: zorig17
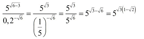
5^√(6 - 3) ÷ 0.2^-√(6)
Ответы
Автор ответа:
0
решение смотри во вложении
Приложения:
Автор ответа:
0
а условие правильное? проверь, пока не поздно
Автор ответа:
0
Да, условие правильное
Автор ответа:
0
ну, тогда удачи тебе
Автор ответа:
0
На сайте решуегэ( Базовый уровень)7 вариант, я вроде хорошо решаю, но эта задача какая то странная -_-
Автор ответа:
0
Я сам голову ломаю, как ее решить
Похожие вопросы
Предмет: Химия,
автор: petryshka60
Предмет: Математика,
автор: volkovalizok70
Предмет: Алгебра,
автор: azamatgadylsin30
Предмет: Математика,
автор: margo111111111