Предмет: Алгебра,
автор: zumap00
Помогите пожалуйста. 20 баллов даю.
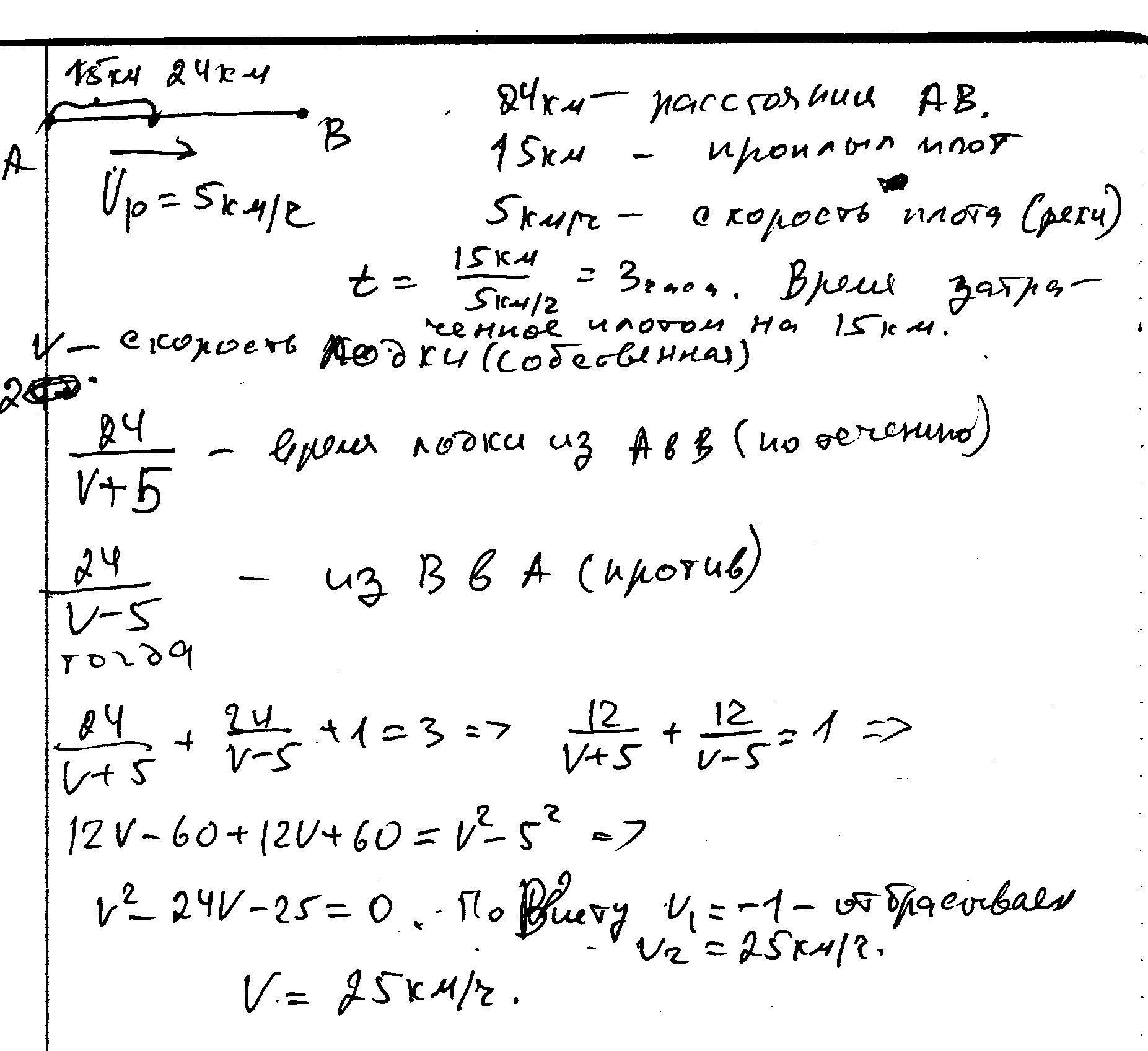
Расстояние между пристанями A и B равно 24 км. Из A в B по течению реки отправился плот, а через час вслед за ним отправилась моторная лодка, которая,
прибыв в пункт B, тотчас повернула обратно и возвратилась в A. К этому времени плот прошёл15 км. Найдите скорость лодки в неподвижной воде, если скорость течения реки равна 5 км/ч.
Ответы
Автор ответа:
0
забыл про задачку. Извините.....
Приложения:
Похожие вопросы
Предмет: Литература,
автор: nastyakgluhmanyk
Предмет: Информатика,
автор: svetlanadenisevic31
Предмет: Математика,
автор: DeHaker1
Предмет: Математика,
автор: okkosukhina
Предмет: Математика,
автор: makariolga