Предмет: Математика,
автор: Dallasonn
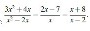
Упростите выражение
Помогите плиз.Очень надо
Приложения:
Ответы
Автор ответа:
0
!______!_!_!_!_!_!_!_!___!_
Приложения:
Автор ответа:
0
Ответ:
(23x-14)/(x^(2)-2x)
(23x-14)/(x^(2)-2x)
Приложения:
Похожие вопросы
Предмет: Математика,
автор: alexprime0016
Предмет: Английский язык,
автор: alina22062206
Предмет: Алгебра,
автор: anastasiamamaj77
Предмет: Математика,
автор: Zirgaliyev03
Предмет: Математика,
автор: bakeevamilana