Предмет: Геометрия,
автор: k6eshchke6y
Геометрия 10 класс срочно
Приложения:
Ответы
Автор ответа:
0
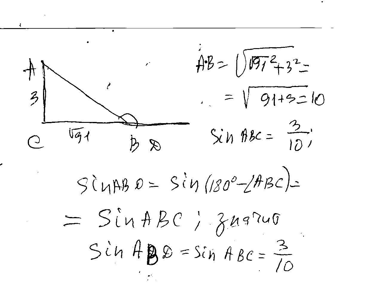
решение в скане.......
Приложения:
Похожие вопросы
Предмет: Химия,
автор: EkaterinaMarvin
Предмет: Русский язык,
автор: sevinjka1
Предмет: Другие предметы,
автор: yralovanadia1302
Предмет: Физика,
автор: JIyneHb
Предмет: Литература,
автор: kuznetsovakari