Предмет: Геометрия,
автор: Вовчик15364676326
задачи 6-9 ПОЖАЛУЙСТА
Приложения:
Ответы
Автор ответа:
0
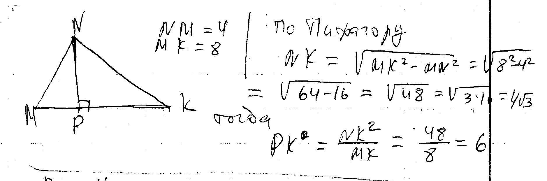
Не вижу приемлемого способа решения 9. Если озарит, добавлю.
Приложения:
Похожие вопросы
Предмет: Русский язык,
автор: D222003
Предмет: Биология,
автор: kazimagomedovazalina
Предмет: Математика,
автор: lizacool0611
Предмет: Математика,
автор: natabel
Предмет: Химия,
автор: Qriii