Предмет: Математика,
автор: Neffertyty1999
Срочно!!!
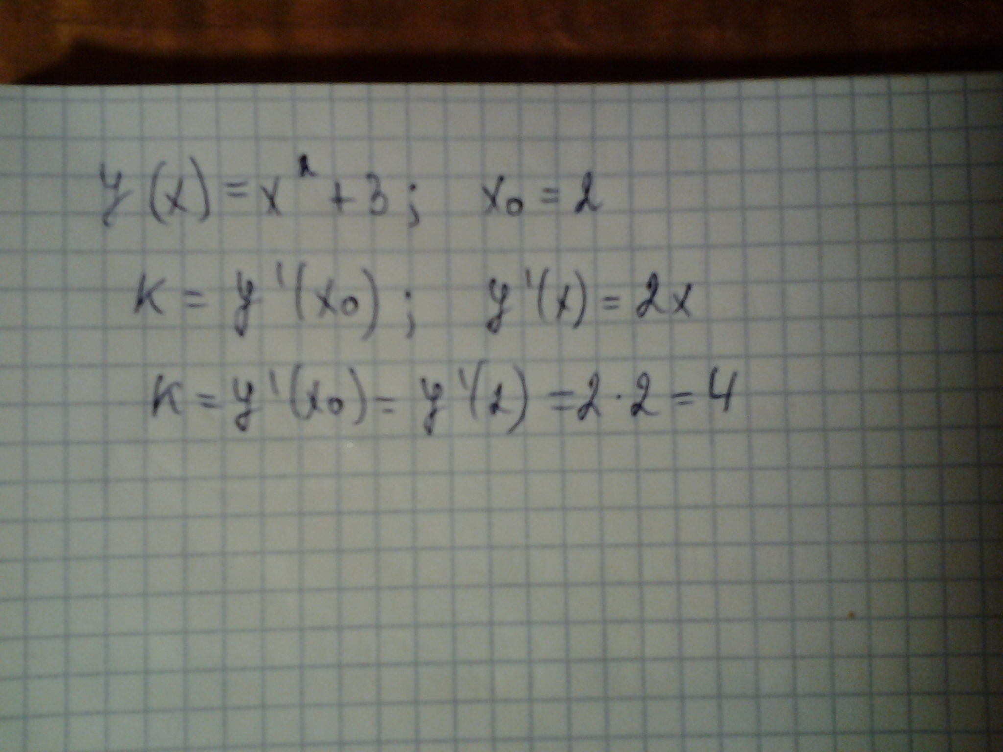
определите угловой коэффициент касательной к графику функции y(x) в точке с абцисой x0 если y=x2+3 x0=2
Ответы
Автор ответа:
0
Применена формула углового коэффициента касательной
Приложения:
Похожие вопросы
Предмет: Математика,
автор: chasnochiQWQ
Предмет: Английский язык,
автор: oybekabdugapporov110
Предмет: Информатика,
автор: dikvika132
Предмет: Математика,
автор: zulpukharov