Предмет: Алгебра,
автор: aleksandrais
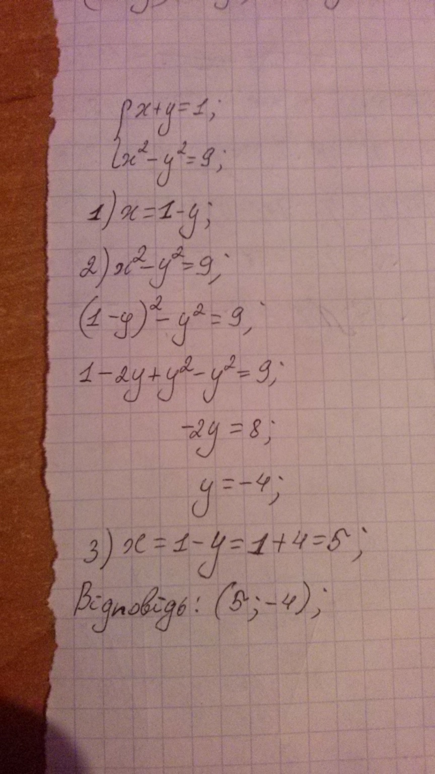
Решите систему уравнений:
x+y=1
x (в квадрате)-y(в квадрате)=9
Ответы
Автор ответа:
0
Решение смотреть на фото
Приложения:
Похожие вопросы
Предмет: Физика,
автор: flowwolftemir001
Предмет: Литература,
автор: slusalet
Предмет: Математика,
автор: ajzaazizova3
Предмет: Алгебра,
автор: приззз555
Предмет: Обществознание,
автор: дианакаденисова