Предмет: Математика,
автор: Fisher911
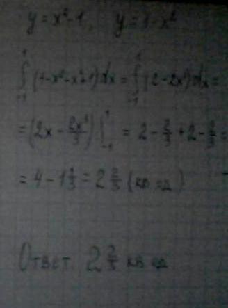
найти площадь фигуры ограниченной параболами y=x^(2)-1, и y=1-x^(2)
Ответы
Автор ответа:
0
______________________________________________________________
Приложения:
Автор ответа:
0
только всегда рисовать надо, чтоб видеть от чего что отнимать, если рисовал то молодец, если нет, то повезло
Автор ответа:
0
ответ совпал
Автор ответа:
0
Я же прикрепила рисунок.
Автор ответа:
0
не прикрепился видимо
Автор ответа:
0
попробуй здесь посмотреть - https://ru-static.z-dn.net/files/d10/a9715cb94c84309b87e604569b92b040.jpg
Похожие вопросы
Предмет: Қазақ тiлi,
автор: markasem
Предмет: История,
автор: mergenbaevaaminatd
Предмет: Русский язык,
автор: Аноним
Предмет: Химия,
автор: Konfetkafack
Предмет: История,
автор: pantrapan