Предмет: Алгебра, автор: Игорь3773

Решите пожалуйста номер 7(вынесите общий множитель за скобки)
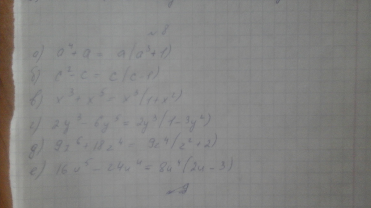
номер 8(вынесите общий множитель за скобки)
номер 9(вынесите общий множитель за скобки)
ОЧЕНЬ СРОЧНО!!!

Приложения:

Ответы

Автор ответа: comp2
0
a(x+y+z); 5a(b-x+y); a(a3-1)
Автор ответа: muhoedvalera
0
Качество может быть не очень, извините

Приложения:
Автор ответа: Игорь3773
0
спасибо,спас
Автор ответа: muhoedvalera
0
Не за что:)
Похожие вопросы
Предмет: Физика, автор: ajdynnurlanuly
Предмет: История, автор: marushko81