Предмет: Алгебра,
автор: Houter
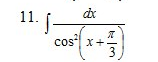
найти интеграл..............................
Приложения:
Ответы
Автор ответа:
0
ответ на задание: tg(x+π/3)+c
Похожие вопросы
Предмет: Информатика,
автор: anime148873
Предмет: Литература,
автор: egorovdanil0102
Предмет: Геометрия,
автор: rrrrrrrr939
Предмет: Математика,
автор: PollyFrommer
Предмет: Литература,
автор: koroleva30k