Предмет: Алгебра,
автор: мулямуля
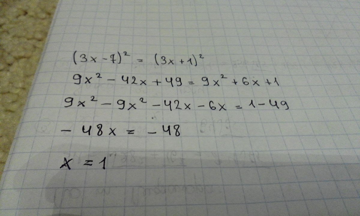
найдите корень уравнения (3х-7)^2=(3х+1)^2
Ответы
Автор ответа:
0
.................................
Приложения:
Автор ответа:
0
Спасииибо!
Автор ответа:
0
Вроде все видно и понятно (:
Приложения:
Автор ответа:
0
Спасибо огромное!!
Автор ответа:
0
Скажите, пожалуйста, откуда вы взяли 42?
Автор ответа:
0
Это выражение называется квадрат разности и раскрывается по формуле (a-b)^2 = a^2 +b^2 -2ab. Соответственно мы 2*3*7, и получаем 42.
Похожие вопросы
Предмет: Українська мова,
автор: profigrig
Предмет: Математика,
автор: Аноним
Предмет: Алгебра,
автор: vinniethepuh
Предмет: Физика,
автор: berrytsukasa
Предмет: Математика,
автор: vika208