Предмет: Алгебра, автор: martiemiliya

Найти интегралы:
Задание во вложении на фото

Приложения:

Ответы

Автор ответа: bearcab
0
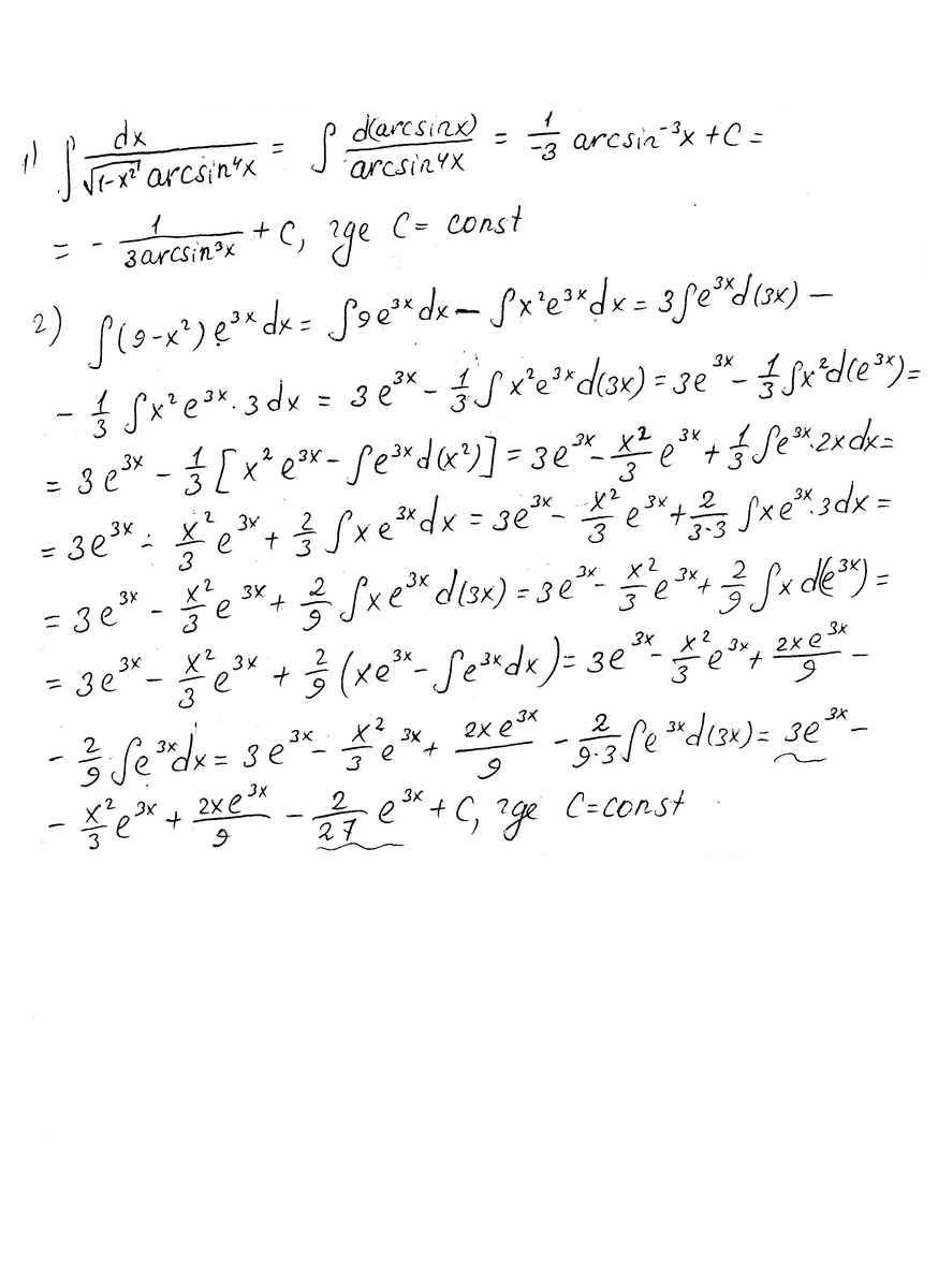
Решение в приложениях.
Приложения:
Автор ответа: martiemiliya
0
а можно узнать,в какой программе вы все так четко и красиво пишите?
Автор ответа: bearcab
0
Моё решение пишется от руки. А другое решение, которое ниже написано в LaTeXe.
Автор ответа: bearcab
0
Наберите в поисковике про LaTeX, там написано много
Автор ответа: martiemiliya
0
спасибо!)
Автор ответа: NNNLLL54
0
1); ;  int  frac{dx}{sqrt{1-x^2}cdot arcsin^4x} =int frac{dt}{t^4}=int t^{-4}cdot dt=\\=frac{t^{-3}}{-3}+C=-frac{1}{3arcsin^3x}+C\\2); int (9-x^2)e^{3x}dx=[, u=9-x^2,du=-2x, dx,dv=e^{3x}dx,v=frac{1}{3}e^{3x}]=\\=frac{9-x^2}{3}e^{3x}+frac{2}{3}int xe^{3x}dx=[u=x,du=dx,dv=e^{3x}dx,v=frac{1}{3}e^{3x}]=\\= frac{9-x^2}{3}e^{3x}+frac{2}{3}(frac{x}{3}e^{3x}-frac{1}{3}int  e^{3x}dx)= frac{9-x^2}{3}e^{3x}+frac{2}{9}xe^{3x}-frac{2}{27}e^{3x}+C

3); ; int  frac{2x^2-5x+1}{x^3-2x^2+x} dx=int  frac{2x^2-5x+1}{x(x-1)^2} dx=I\\ frac{2x^2-5x+1}{x(x-1)^2} = frac{A}{x} + frac{B}{x-1} + frac{C}{(x-1)^2} \\2x^2-5x+1=A(x-1)^2+Bx(x-1)+Cx\\x=0,; ; A=1\\x=1,; ; C=-2\\x^2, |, 2=A+B; ; to ; ; B=2-A=2-1=1\\I=int (frac{1}{x}+frac{1}{x-1}- frac{2}{(x-1)^2} )dx=ln|x|+ln|x-1|+ frac{2}{x-1} +C

4); ; int  frac{dx}{8sin^2x-16sinxcosx} =int  frac{dx/cos^2x}{8tg^2x-16tgx} =[t=tgx]=int  frac{dt}{8(t^2-2t)} =\\=frac{1}{8}int  frac{dt}{(t-1)^2-1} =frac{1}{8}cdot frac{1}{2}cdot lnleft |frac{(t-1)-1}{t-1+1}right |+C=frac{1}{16}cdot lnleft |frac{tgx-2}{tgx}right |+C

5); ; int frac{sqrt{x+1}-1}{(sqrt[3]{x+1}+1)sqrt{x+1}}dx=[x+1=t^6,x=t^6-1,dx=6t^5, dt]=\\=int  frac{(t^3-1)cdot 6t^5}{(t^2+1)t^3} cdot dt=6cdot int  frac{t^2(t^3-1)}{t^2+1} dt=6cdot int frac{t^5-t^2}{t^2+1}dt=\\=6cdot int (t^3-t-1+frac{t+1}{t^2+1})dt=6frac{t^4}{4} -6frac{t^2}{2}-6t+6cdot frac{1}{2}int frac{2t, dt}{t^2+1}+6int frac{dt}{t^2+1}=\\=frac{3}{2}cdot sqrt[6]{(x+1)^4}-3sqrt[6]{(x+1)^2}-6sqrt[6]{x+1}+3ln(t^2+1)+6arctgt+C

=frac{3}{2}sqrt[3]{(x+1)^2}-3sqrt[3]{x+1}-6sqrt[6]{x+1}+3ln(sqrt[3]{x+1}+1)+\\+6arctgsqrt[6]{x+1}+C\\6); ; int  frac{sqrt{(9-x^2)^3}}{x^4} dx=[x=3sint,; 9-x^2=9cos^2t,; dx=3cost, dt]=\\=int  frac{sqrt{9^3cos^6t}cdot 3cost}{3^4sin^4t} dt=int  frac{3^4cos^4t}{3^4sin^4t} dt=int ctg^4tcdot dt=[ctgt=z,; t=arcctgz,\\ dt=-frac{dz}{1+z^2}, ]=-int frac{z^4}{1+z^2}dz=-int (z^2-1+frac{1}{1+z^2})dz=\\=-frac{z^3}{3}+z-arctgz+C=

=-frac{1}{3}ctg^3(arcsinfrac{x}{3})+ctg(arcsinfrac{x}{3})-arctg(ctg(arcsinfrac{x}{3}))+C=\\=-frac{1}{3}cdot frac{sqrt{(9-x^2)^3}}{x^3}+frac{sqrt{9-x^2}}{x}-arctgfrac{sqrt{9-x^2}}{x}+C
Приложения:
Похожие вопросы