Предмет: Алгебра,
автор: popisareva
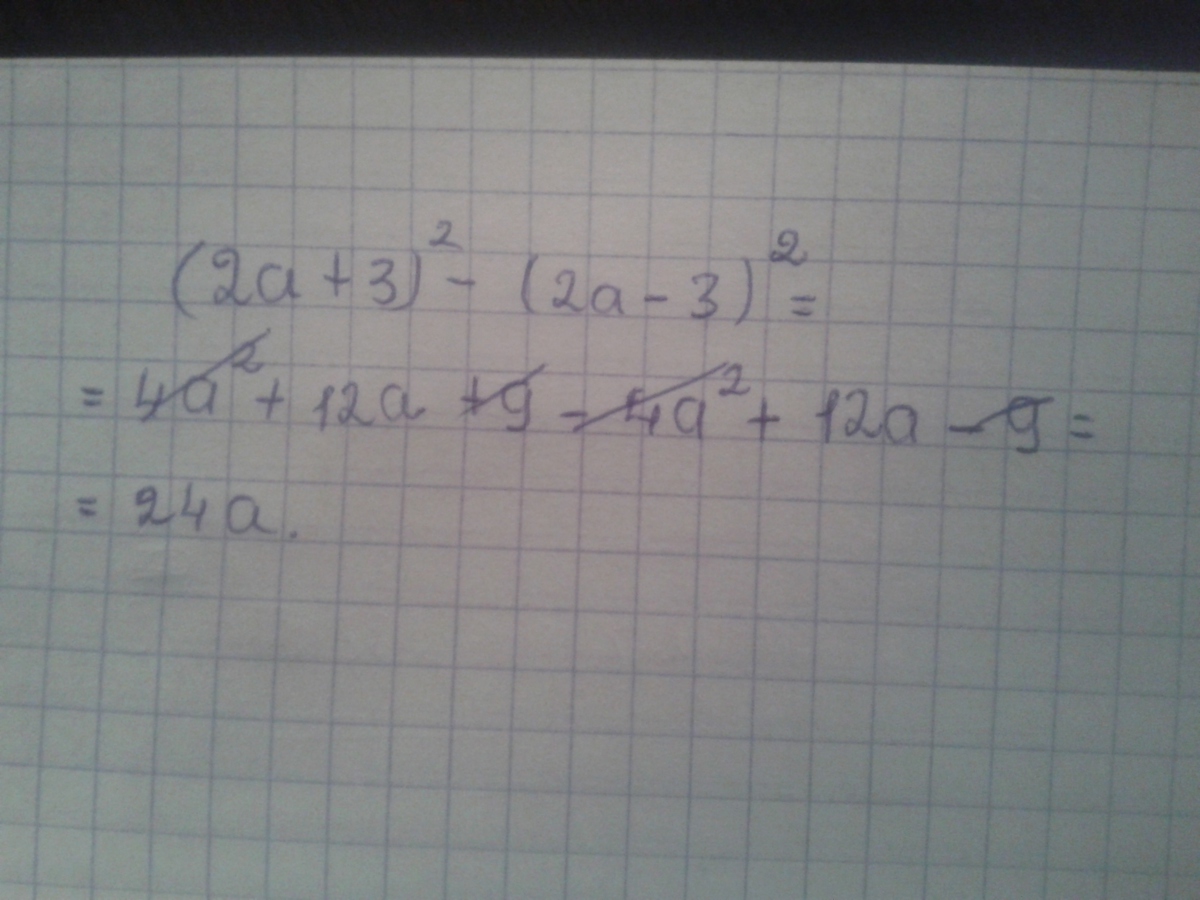
Упростите выражение (2a + 3)во второй степени − (2a − 3)во второй степени.
Приложения:
Ответы
Автор ответа:
0
))))))))))))))) 0) 0
Приложения:
Похожие вопросы
Предмет: Информатика,
автор: EvusPeww
Предмет: Физика,
автор: lojkoulia01
Предмет: Русский язык,
автор: Аноним
Предмет: Алгебра,
автор: arsik2
Предмет: Алгебра,
автор: Вики302