Предмет: Алгебра,
автор: katbelysheva
Помогите , срочно !!
Приложения:
Ответы
Автор ответа:
0
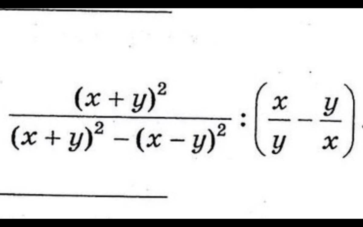
решение в приложении.
Приложения:
Похожие вопросы
Предмет: История,
автор: Napoleon987
Предмет: Математика,
автор: Аноним
Предмет: Математика,
автор: ajsuluzaksylykova029
Предмет: Литература,
автор: MALENIKAEA