Предмет: Физика,
автор: zdanova1996
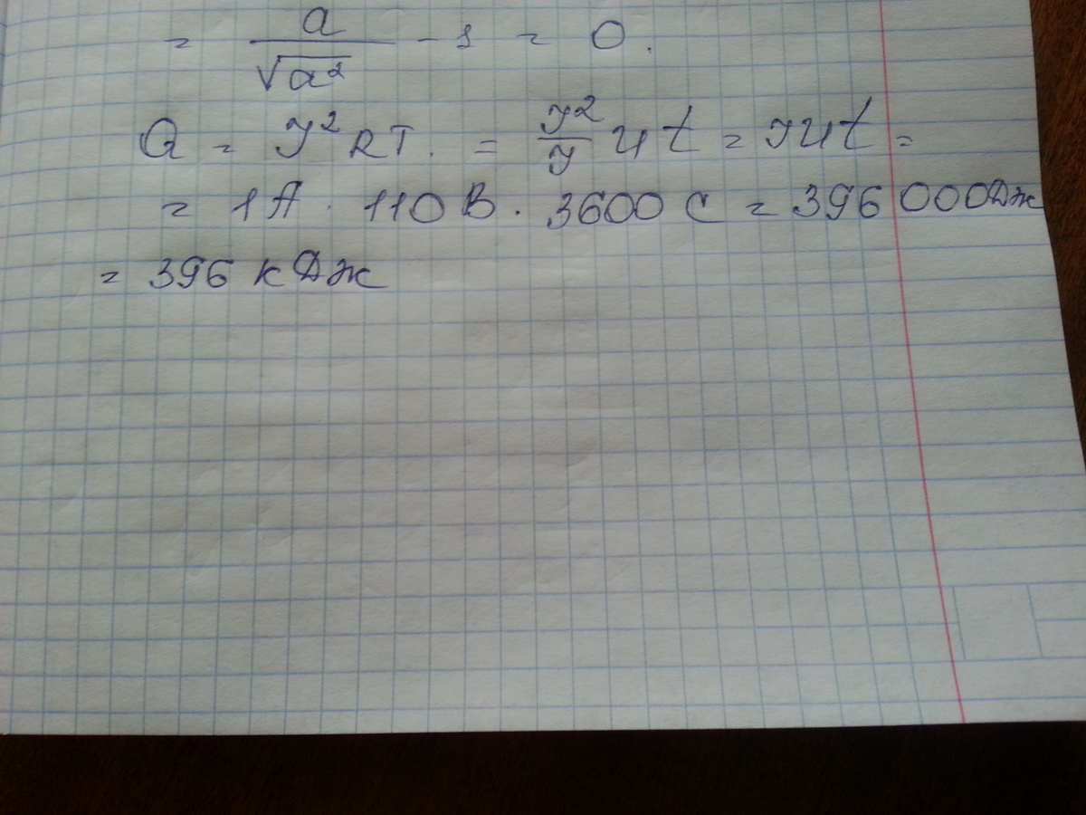
Какое количество теплоты выделится в нити электрической лампы в течении 1ч, если лампа потребляет ток силой 1А при напряжении 110В
Ответы
Автор ответа:
0
ответ: 396 килоджоулей
Приложения:
Похожие вопросы
Предмет: Алгебра,
автор: matryonib
Предмет: Українська мова,
автор: zarskak813
Предмет: История,
автор: sherhan8
Предмет: География,
автор: kolomois76
Предмет: Химия,
автор: Lolita2546