Предмет: Алгебра,
автор: Аноним
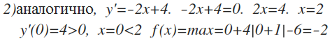
Применение производной для нахождения наибольших и наименьших значений величин. Помогите решить.
Приложения:
Ответы
Автор ответа:
0
РЕШЕНИЕ СМОТРИ ВО ВЛОЖЕНИИ
2)на отрезке[-2;1] ф-ия экстремума не имеет
Приложения:
Похожие вопросы
Предмет: Алгебра,
автор: kapuchiinka
Предмет: Математика,
автор: airint010522
Предмет: Литература,
автор: batyrhanshunekeev
Предмет: Алгебра,
автор: And22