Предмет: Алгебра,
автор: MilanaZn55
прошу вас помогите...нужно найти производную.
Приложения:
Ответы
Автор ответа:
0
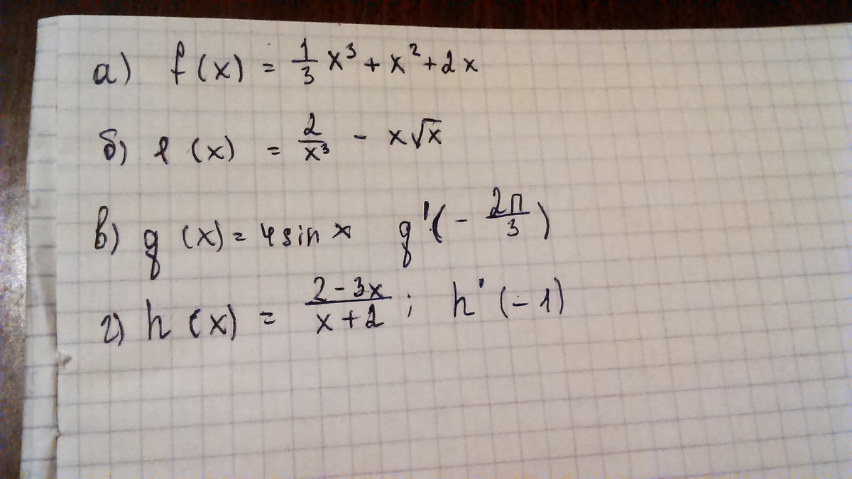
a) 1/3*3*x²+2x+2=x²+2x+2
б)=
в) =4cosx
q'(-2π/3)=4*cos(-2π/3)=-4*1/2=-2
г) =(-3*(х+2)-(2-3х)*1)/(х+2)²=(-3х-6-2+3х)/(х+2)²=-8/(х+2)²
h'(-1)=-8/(-1+2)²=-8
б)=
в) =4cosx
q'(-2π/3)=4*cos(-2π/3)=-4*1/2=-2
г) =(-3*(х+2)-(2-3х)*1)/(х+2)²=(-3х-6-2+3х)/(х+2)²=-8/(х+2)²
h'(-1)=-8/(-1+2)²=-8
Похожие вопросы
Предмет: Русский язык,
автор: golovkovasilisa
Предмет: Английский язык,
автор: turusovaelena
Предмет: Английский язык,
автор: ivancheva009
Предмет: Алгебра,
автор: Кажева