Предмет: Математика,
автор: Goms
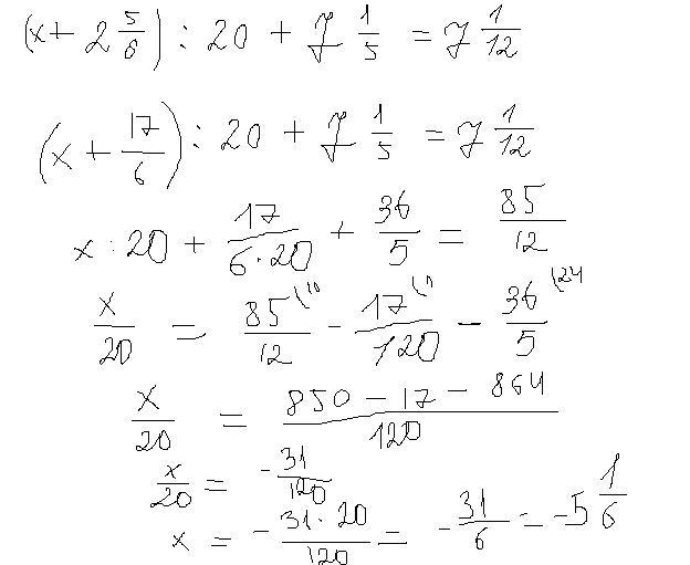
Решите уравнение (x + 2 целых 5/6) : 20 + 7 целых 1/5 = 7 целых 1/2
Ответы
Автор ответа:
0
решение в приложенном файле
Приложения:
Похожие вопросы
Предмет: Геометрия,
автор: nailaibragimova235
Предмет: История,
автор: tddaa2008
Предмет: Математика,
автор: kudaibergenbekenov
Предмет: Алгебра,
автор: Аноним