Предмет: Алгебра,
автор: Аноним
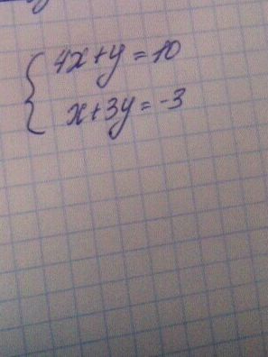
Помогите решить систему уравнений
Приложения:
Ответы
Автор ответа:
0
умножить обе части второго уравнения на 4 и результат вычесть из первого уравнения
4х+12у=-12 у-12у=10+12 -11у=22 у= -2
подставив во второе уравнение найдем х
х+3*(-2)= -3 х - 6= -3 х=3
Ответ: х=3 у= -2
4х+12у=-12 у-12у=10+12 -11у=22 у= -2
подставив во второе уравнение найдем х
х+3*(-2)= -3 х - 6= -3 х=3
Ответ: х=3 у= -2
Похожие вопросы
Предмет: Математика,
автор: hacikanisimiv51001
Предмет: Математика,
автор: kerakeka
Предмет: Математика,
автор: Аноним
Предмет: Физика,
автор: Братство
Предмет: Физика,
автор: juliaefremova