Предмет: Алгебра,
автор: Jule4ka
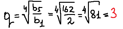
найдите знаменатель геометрической прогрессии (bn), если b1 = 2, b5 = 162
Ответы
Автор ответа:
0
см.влож
======================================
Приложения:
Похожие вопросы
Предмет: Математика,
автор: Аноним
Предмет: Геометрия,
автор: adishon
Предмет: Русский язык,
автор: aisuluukalysova5
Предмет: Алгебра,
автор: пролез