Предмет: Математика,
автор: rafaelkingz
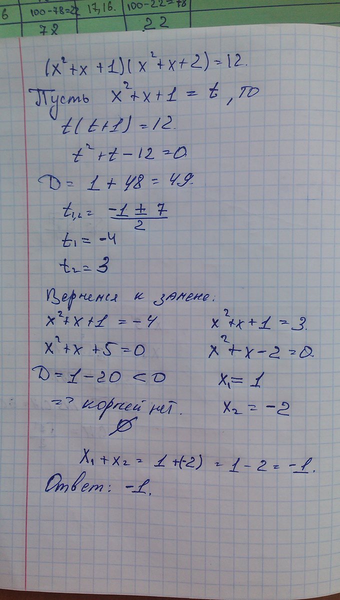
найдите сумму действительных корней уравнения (x^2+x+1)(x^2+x+2)=12
Пожалуйста с объяснениями
Ответы
Автор ответа:
0
---------------------------
Приложения:
Похожие вопросы
Предмет: Музыка,
автор: Ayana0555
Предмет: Химия,
автор: goritskaiqd
Предмет: Қазақ тiлi,
автор: falinolin
Предмет: Биология,
автор: alihka
Предмет: Математика,
автор: meggi12