Предмет: Алгебра,
автор: Дарья1245
помогите пожалуйста
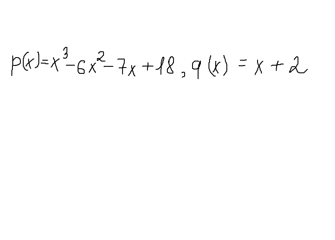
Выполните деление уголком многочлена p(х) на многочлен q(x) если:
Приложения:
Ответы
Автор ответа:
0
см вложение
/////////////////////////////////////////////////////////////////
Приложения:
Похожие вопросы
Предмет: Литература,
автор: sulakvilidze
Предмет: Математика,
автор: FoxOlya123
Предмет: Қазақ тiлi,
автор: amankos2004
Предмет: Физика,
автор: LeraBovkun
Предмет: Литература,
автор: 375291731624