Предмет: Математика,
автор: FoxOlya123
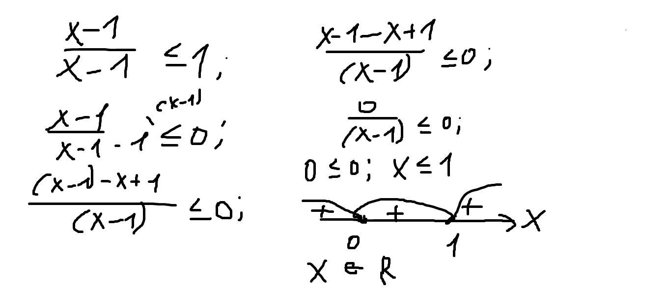
x-1 / x-1 меньше, либо равно 1
Ответы
Автор ответа:
1
Ответ:
Внизу.
Пошаговое объяснение:
Лучше проверить.
Приложения:
Похожие вопросы
Предмет: Английский язык,
автор: Edikrustamov2005
Предмет: Русский язык,
автор: dengorlyshev
Предмет: Английский язык,
автор: gulijan
Предмет: Литература,
автор: muchina234
Предмет: Математика,
автор: barsja