Предмет: Алгебра,
автор: vika19998Б
ПОМОГИТЕ!! ПОЖАЛУЙСТА! ОЧЕНЬ СРОЧНО! !
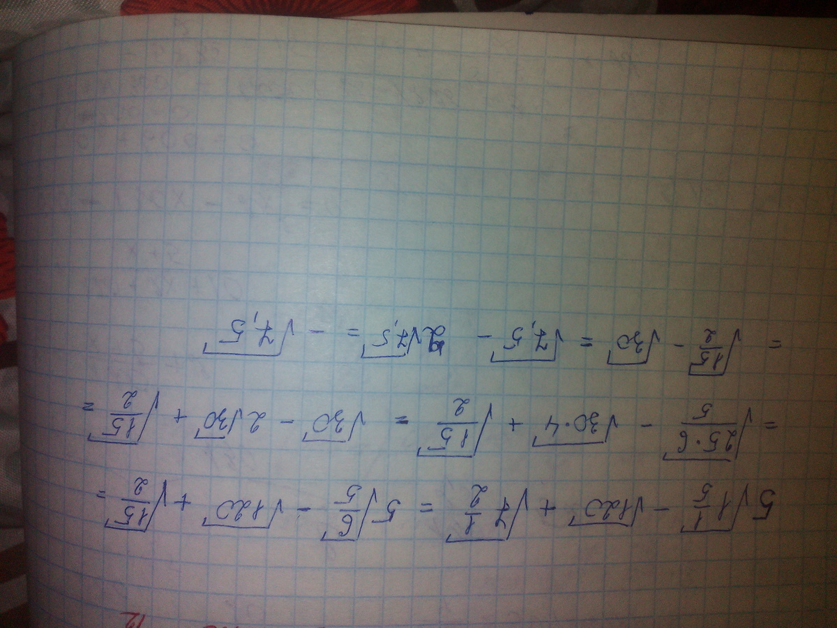
Упростите выражение!
Приложения:
Ответы
Автор ответа:
0
если есть вопросы-пишите
Приложения:
Автор ответа:
0
Спасибо вам большое!
Автор ответа:
0
не за что!)
Похожие вопросы
Предмет: Физика,
автор: dudnikovakate98
Предмет: Химия,
автор: pavelhomysak
Предмет: Русский язык,
автор: Аноним
Предмет: Обществознание,
автор: LisenoKHel
Предмет: География,
автор: katrin4444