Предмет: Математика,
автор: Анюта2003Флора
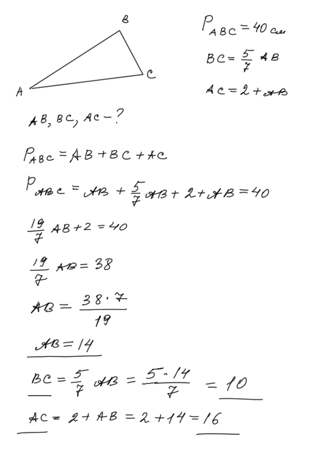
Периметр треугольника ABC равен 40 см.Сторона BC составляет 5/7 стороны AB,а сторона AC на 2 см. больше AB . Найдите стороны треугольника.
ПОМОГИТЕ ПРОШУ
Ответы
Автор ответа:
0
Решение в прикрепленном файле.
Приложения:
Похожие вопросы
Предмет: Русский язык,
автор: shefedvika
Предмет: Информатика,
автор: Mustafa234
Предмет: Математика,
автор: veirena
Предмет: Геометрия,
автор: ystoycheva1