Предмет: Алгебра,
автор: man876
Помогите решить уравнение.
Приложения:
Ответы
Автор ответа:
0
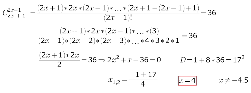
просто по формуле...
большая часть факториалов сократится...
останется только произведение (2х+1)*2х
а дальше квадратное уравнение))
большая часть факториалов сократится...
останется только произведение (2х+1)*2х
а дальше квадратное уравнение))
Приложения:
Похожие вопросы
Предмет: ОБЖ,
автор: innadodonova16
Предмет: Информатика,
автор: milchen20006
Предмет: Литература,
автор: samivip444
Предмет: Литература,
автор: Dron3ik98
Предмет: География,
автор: dzadzamiya1504