Предмет: Алгебра,
автор: bossizhan
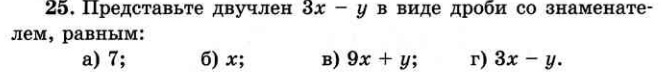
помогите пожалуйста решить задания по алгибре 8 класс, задача номер 25
Приложения:
Ответы
Автор ответа:
0
а)21х-3у/7
б)3х^2-3ух/х
в)(3х-у)(9х+у)/9х+у=27х^2+3ху-9ху-у^2/9х+у=27х^2-6ху-у^2/9х+у
г)(3х-у)(3х-у)/3х-у=9х^2-3ху-3ху+у^2/3х-у=
9х^2-6у+у^2/3х-у
Автор ответа:
0
ответы неправильные
Похожие вопросы
Предмет: Математика,
автор: desenaman
Предмет: Математика,
автор: Ru3151
Предмет: Алгебра,
автор: gloriamaksimenko
Предмет: Физика,
автор: deliya97
Предмет: Физика,
автор: Hihi3