Предмет: Химия, автор: 644

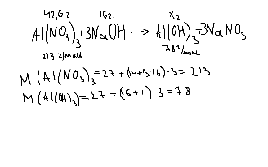
К раствору, в котором находится нитрат алюминия массой 42,6 г, прилили раствор, содержащий 16 г гидроксида натрия. рАССЧИТАЙТЕ МАССУ ОБРАЗОВАВШЕГОСЯ ОСАДКА ( ответ масса осадка равна 15.6г)

Ответы

Автор ответа: leis
0

m(Al(OH)3=42,6*78/213=15,6г

Приложения:
Похожие вопросы
Предмет: Английский язык, автор: kononovyaroslav2
1. Вставьте пропущенный артикль, где это необходимо (a/an, the)
Alex has got … mother, … father…, and … sister
His sister is …. Accountant.
This is …. fridge. …. fridge is new.
We are five in …. family.
Helen and her husband have got … two children.
2. Вставьте пропущенный предлог
Helen’s mother works … a college.
Is she fond …. cooking? Yes she is.
He likes to watch tennis …. TV.
The children don’t go …. a nursery.
I like to play …. the guitar.
3. Вставьте пропущенную форму глагола to be (am, is, are):
Smirnov … my surname.
I …. Eighteen years old.
Alex … not a teacher. He …. A student.
Helen And Steve … good friends.
… they married? Yes, they … .
4. Вставьте притяжательные местоимения.
Alex has got a family. … family is large.
Helen is an accountant. She likes …. profession.
I want to tell you a few words about …. family.
We have got a flat. … flat is not large.
Pete, is …. Flat comfortable? Yes, it is. … flat is very comfortable.
5. Вставьте правильную форму глагола to have got или has got.
I …. not …. a brother. I … …. a sister.
….. you … a house? No, I …. not …. a house.
My sister … … a husband.
Helen and her husband … … two children.
We … … a large flat.

Вариант 2.

1. Вставьте пропущенный артикль, где это необходимо (a/an, the)
I have got …. brother and … sister.
Her brother is … engineer.
This is … college. … college is large.
They are six in … family.
My friends have got … three children.
2. Вставьте пропущенный предлог, где это необходимо.
Helen’s mother is a teacher … biology.
Pete’s father is fond… tennis.
We go … the college every day.
I don’t like to play …. the piano.
Do you live …. a house? Yes, I do.
3. Вставьте пропущенную форму глагола to be (am, is, are)
Alex …. his first name.

I … a student at a college.
Helen … married.
We … not good tennis players.
…. You a good football player? No, I … not.
4. Вставьте притяжательные местоимения.
They have got two children. … children are small.
I am Alex. …. Surname is Smirnov.
She is married. … husband is a scientist.
We have got a house. …. House is not big.
Nick, is it …. Book? Yes, it is … book.
5. Вставьте пропущенную форму глагола have got или has got.
…. you …. A family? Yes, I … … a large family.
My friend … … a sister.
I … not …. A vacuum cleaner.
The children … … a nice room.
My father … …