Предмет: Алгебра,
автор: star1997
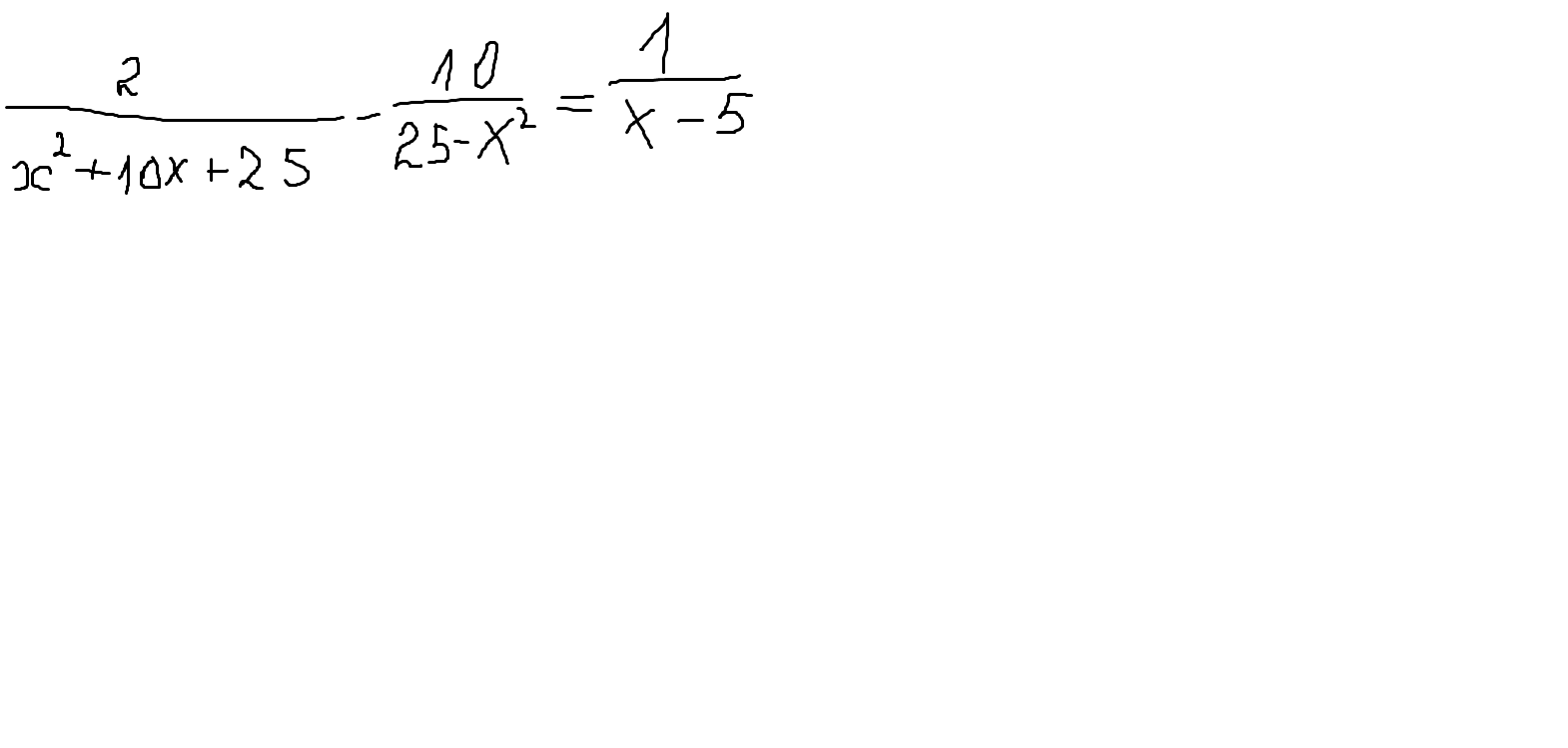
Помогите решить уравнение
Приложения:
Ответы
Автор ответа:
0
2/(x+5)+10/(x2-25)=1/(x-5); (2(x-5)+10)/x2-25=1/(x-5); 2x/(x2-25)=1/(x-5); x не равно 5 и -5, потому что в знаменателе будет 0. 2x2-10x=x2-25; x2-10x+25=0; x1=5; x2=5. Из-за того,что икс не равен 5 и -5, уравнение не имеет корней.
Похожие вопросы
Предмет: Математика,
автор: 89389883406
Предмет: Алгебра,
автор: dossbig745
Предмет: Биология,
автор: dushebaevaguliza
Предмет: Физика,
автор: Artemg13
Предмет: Химия,
автор: leri26