Предмет: Физика,
автор: lyky
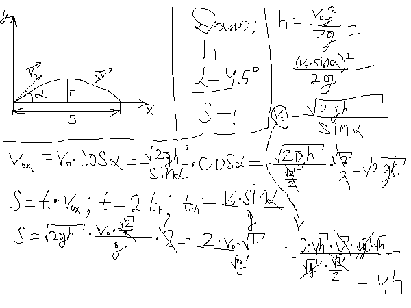
Диск брошенный под углом 45градусов горизонту,достиг наибольшей высоты h.Какова дальность полета диска
Ответы
Автор ответа:
0
во вложениях..............................
Приложения:
Похожие вопросы
Предмет: Алгебра,
автор: Аноним
Предмет: Геометрия,
автор: genyaivanova091
Предмет: Литература,
автор: ltzkonfeta
Предмет: Алгебра,
автор: RainbowRW
Предмет: Биология,
автор: Zordon410