Предмет: Алгебра,
автор: hirvihirvi
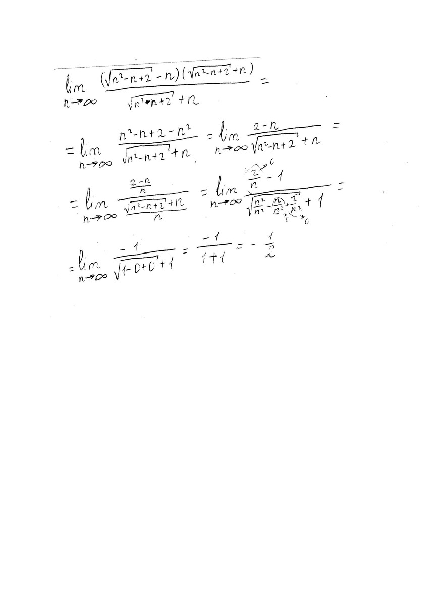
Объясните, пожалуйста, как здесь найти предел:

Заранее спасибо.
Ответы
Автор ответа:
0
Решение в приложении.
Приложения:
Автор ответа:
0
Спасибо Вам огромное.
Похожие вопросы
Предмет: Английский язык,
автор: milana201009
Предмет: Алгебра,
автор: Ивашкин2015
Предмет: География,
автор: jeyjeygardi03
Предмет: Геометрия,
автор: kiisaa123