Предмет: Математика,
автор: Оксана26029011
и 317 номер заранее спасибо
Приложения:
Ответы
Автор ответа:
0
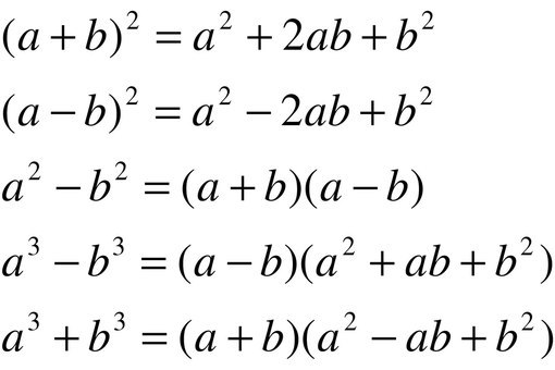
(а+в)² = а² + 2ав + в² ---это квадрат суммы.
(а+в) (а-в) = а² - в² ---,а это разность квадратов.
(а+в) (а-в) = а² - в² ---,а это разность квадратов.
Приложения:
Автор ответа:
0
(а+в) (а-в) = а квадрате - в квадрате
Автор ответа:
0
???
Автор ответа:
0
(a+b)квадрате=a квадрате+2ab+b квадрате
Приложения:
Похожие вопросы
Предмет: Русский язык,
автор: zrazymbek
Предмет: Математика,
автор: kab937195
Предмет: Информатика,
автор: dashaposadskaya
Предмет: Алгебра,
автор: Makzonor