Предмет: Алгебра,
автор: Аноним
из двух населенных пунктов одновременно навстречу друг другу выехали два велосипедиста.они встретились через 3 часа.в час один велосипедист проходит на 2 км больше другого. какова скорость каждого велосипедиста,если расстояние между населенными пунктами равно 66 км. решить системой уравнения
Ответы
Автор ответа:
0
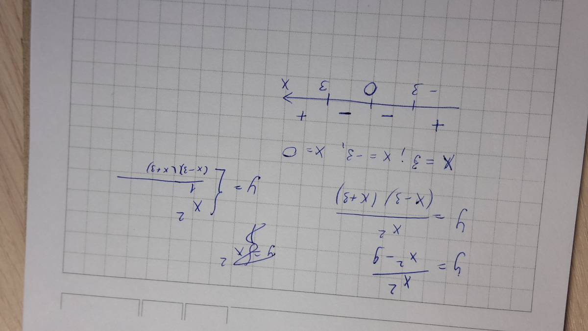
Держи, пишу без дано
Приложения:
Похожие вопросы
Предмет: Музыка,
автор: MissSofi17
Предмет: Право,
автор: Kblk134
Предмет: Математика,
автор: 26nazar08
Предмет: Математика,
автор: MehannikTAV
Предмет: История,
автор: siva72