Предмет: Алгебра,
автор: lizeniks
Решите,пожалуйста,очень надо
Срочно прям
Приложения:
Ответы
Автор ответа:
0
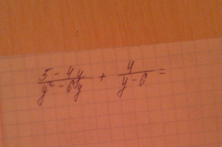
5-4y + 4 = 5-4y + 4 = 5-4y +4y = 5
y² -6y y-6 y(y-6) y-6 y(y-6) y²-6y
y² -6y y-6 y(y-6) y-6 y(y-6) y²-6y
Автор ответа:
0
спасибо)
Похожие вопросы
Предмет: Українська література,
автор: aandronov597
Предмет: Математика,
автор: Аноним
Предмет: Обществознание,
автор: katanazarova509
Предмет: Химия,
автор: Крольчонок555