Предмет: Алгебра,
автор: Мухотина
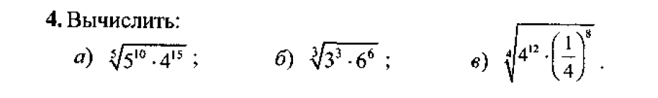
Помогите с номером 4 , во вложениях...
Приложения:
Ответы
Автор ответа:
0
Похожие вопросы
Предмет: Математика,
автор: Vladixbhdu
Предмет: Українська мова,
автор: dashylkab
Предмет: Українська мова,
автор: romanchernets7666
Предмет: Литература,
автор: veraprokofieva
Предмет: Химия,
автор: romka020697