Предмет: Алгебра,
автор: kdjejd
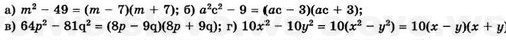
Решите 13 плиз плиз плиз
Приложения:
Ответы
Автор ответа:
0
........................................................
Приложения:
Автор ответа:
0
спс
Похожие вопросы
Предмет: Математика,
автор: Аноним
Предмет: Қазақ тiлi,
автор: kamidollina511
Предмет: Физика,
автор: supergirl29990
Предмет: География,
автор: slava1698