Предмет: Физика,
автор: supergirl29990
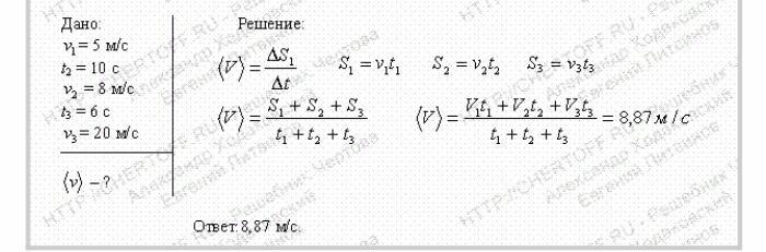
t1=15 cекунд
V1=5 м/с
t2=10 cек
V2=8 м/с
t3=6 cек
V3= 20 м/с
Vcред-? помогите пж
Ответы
Автор ответа:
1
Вот мой ответ:
Вот так будет:
Вот так будет:
Приложения:
Похожие вопросы
Предмет: Математика,
автор: Андрей1001100101
Предмет: Русский язык,
автор: ok87sa
Предмет: Математика,
автор: янка73
Предмет: Математика,
автор: ЧОТКАЯПАЦА
Предмет: Математика,
автор: 200936