Предмет: Алгебра,
автор: дзипь
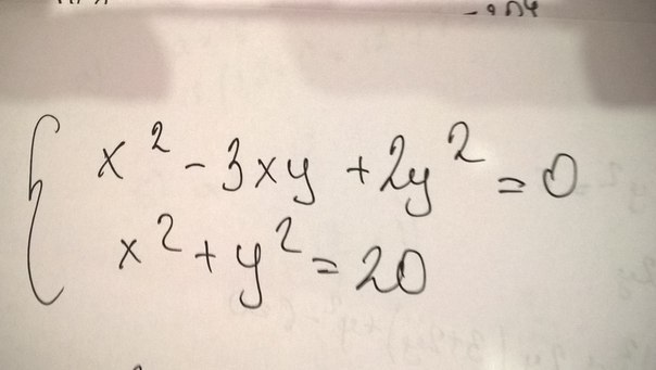
СРОЧНО ПОМОГИТЕ РЕШИТЬ СИСТЕМУ УРАВНЕНИЙ . ОЧЕНЬ НУЖНО!
Приложения:
Ответы
Автор ответа:
0
Решение смотри в приложении
Приложения:
Похожие вопросы
Предмет: Математика,
автор: val5788
Предмет: Математика,
автор: sasahametova
Предмет: Математика,
автор: koroteevartem341
Предмет: Математика,
автор: monomax97