Предмет: Математика,
автор: wissero679
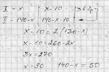
В двух цистернах было 140 т бензина. После того как из каждой цистерны продали по 10 т, в первой цистерне оказалось в два раза больше бензина, чем во второй. Сколько тонн бензина было в каждой цистерне первоночально
Ответы
Автор ответа:
0
смотри решение ниже!
Приложения:
Похожие вопросы
Предмет: Другие предметы,
автор: valeria06082017
Предмет: Математика,
автор: lidergta228oxxdew
Предмет: Математика,
автор: vikastar1907
Предмет: Биология,
автор: ДунаевскаяМаргарита
Предмет: Математика,
автор: Вадим987